由于我國農業現代機械化水平越來越高,導致現在的農業機械對自動控制的部件精度也越來越高,而影響部件精度的主要關鍵問題是機械加工技術,對復雜的曲面進行加工對于提高加工效率是具有非常高的意義的。但是,當前我國企業使用的五軸機床大部門都沒有使用相關的經驗以及理論來進行五軸數控加工。對于部件加工來說,切削量的優化是提高復雜零件加工精度的有效方法。所以,如果企業采用了五軸數控加工技術,需要引進農業機械在復雜零件的制造過程中先研究刀具加工參數以及加工的路線,這樣來提供農業機械零件的加工水平。
1 基于 CAD / CAM 的農機部件綜合數控加工系統
隨著 CAD / CAM 集成系統和刀具路徑優化算法的發展,五軸加工中心已成為復雜零件的主要加工工具。如果用于加工機械零件,可以有效提高加工效率和質量。基于三軸機床,五軸數控機床增加了兩個可選軸。在三軸的基礎上,可以任意改變五軸數控機床的位置,有效縮短夾具的使用時間。因此,在復雜的農機零件加工中,零件的加工效率將大大提高。在用 5 軸數控加工中心加工農機部件時,可以使用 CAD / CAM 集成系統來優化刀具路徑。加工參數與 CAD / CAM 系統集成,并使用相關算法對刀具進行優化。通過刀具軌跡仿真,利用自適應差分算法對刀具軌跡進行優化,最終確定了五軸銑床的主要刀具軌跡。
2 基于自適應差分算法的五軸農機零件數控加工刀具軌跡調整
由于五軸數控加工復雜的導線,為了協調多軸同步控制,必須優化刀具路徑,實現各軸功能的最佳實現。本文采用自適應微分算法對農機部件的數控加工刀具軌跡進行優化。基于自適應差分進化,算法過程包括數據初始化,自適應函數和演化計算。最后確定優化刀具路徑的邊界條件。初始測試位置和結束位置可以根據加工零件確定。處理路徑和處理時間是獨立變量,處理路徑可以表示為三個處理時間多項式。通過優化多項式系數來獲得最佳處理路徑。三次擬合多項式為:

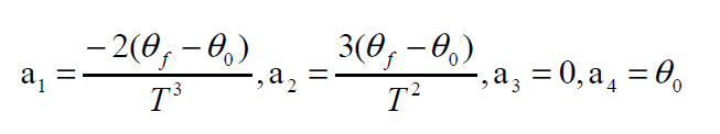
其中,q 代表代表處理路徑 ;t 是處理時間 ;a 代表要優化的參數。初始和最終處理參數根據農業機械部件的結. 構來確定:

其中,T 是在加工循環中加工五軸數控機床的時間。在此基礎上, 可以將三次多項式的優化系數作為五軸數控加工中心刀具路徑規劃中最短樣條曲線優化的目標函數進行計算。

其中,T 是加工循環中 5 軸數控機床的時間。在此基礎上,可以估計三次多項式優化系數是五軸數控加工中心最短的樣條曲線優化目標函數。

其中, xi 表示加工 5 軸數控機床 i 所需的時間 ;n 表示數控加工點
中的點數 ;ξ 代表基本的加工工具粘合劑約束,其中![]()
分別表征加工刀具的角速度,角加速度,角加速度和位移矩。給出了角速度約束,角加速度約束,角加速度約束和關節扭矩約束。Ture
表示可以通過降低適應性而將其置于約束內的二進制表達式。最佳的刀具軌跡位置在 t i 或者 (t i , t i+1 ) 區間, 則:

其中,
指示. 工具最佳位置的絕對值 ; |
| 刀具處于最佳位置時的速度的絕對值 ; |
| , i=1, 2, …, n-1 表示區間(t i,t i + 1)中絕對值的最大值,優化后的參數直接輸入到 CAD / CAM 集成系統中。可以優化 5 軸數控機床的刀具路徑。
3 五軸數控加工中心刀具算法應用于農機配件的加工
為了驗證自適應差分算法在五軸機床刀具路徑優化算法中的實際應用,研究了凹凸切削機床復雜零件的加工過程,設計了刀具路徑。實際的處理結果驗證了算法的可靠性。一種新型自動修剪機器人農業機械由于其傳動過程中的復雜運動,經常在其關節處使用復雜的凸形和凹形配件,這給農機零件的加工帶來了更多的麻煩;五軸數控加工中心可合理規劃刀具路徑,使刀具完成曲線運動,實現復雜零件的加工。為了驗證刀具路徑優化算法的可靠性,有必要使用刀具路徑模擬方法進行理論研究。使用算法編程技術來獲得工具曲線。在較復雜的表面部件中,加工工具很少,這對農機部件的加工質量影響很大。在優化和優化比較之前,刀具軌跡增加了復雜零件中行走工具的密度。這種加工方法精度高,保證了零件的復雜、零件的高精度、復雜的表面光滑、加工毛刺少、加工精度高,能滿足農機零件復雜零件的精密加工。
4 結論
本文首先介紹了基于CAD / CAM的農機部件綜合數控加工系統, 然后闡述了基于自適應差分算法的五軸農機零件數控加工刀具軌跡調整,最后介紹了五軸數控加工中心刀具算法應用于農機配件的加工的例子。最后希望通過本文的研究,對今后的專家學者研究相關的課題有一定的幫助與借鑒作用。
2024-11
本文以組合式六角亭模型為實例,分析工藝難點與加工可行性,指出該模型的加工難點是模型形狀不規則和整體剛性差,并通過設計新的工藝方案解決加工難點,完成了模型整體的加工。新的加工工藝有助于提高加工效率和精度,為五軸數控加工提供了一個典型案例,對于五軸加工中心數控加工也具有指導作用和重要… [了解更多]
2024-11
宇匠數控 備注:為保證文章的完整度,本文核心內容由PDF格式顯示,如未有顯示請刷新或轉換瀏覽器嘗試,手機瀏覽可能無法正常使用!本文摘要:通過對混聯五軸加工中心自適應深度學習控制方法的 研 究,可 知 此 方 法 的 創 新 之 處 在 于:1)建 立 了 機 床 的 運 動 學 … [了解更多]
2024-11
在機測量技術由于其成本低、檢測效率高、無需二次裝夾等優勢被廣泛用于零件加工測量當中,使得五軸加工中心和五軸鉆攻中心,同時又兼具測量功能。在機測量系統的構成如圖1所示,硬件部分主要是由高精度探頭、信號接收器、機床整個本體,軟件部分由機床控制系統、測量軟件等組成[8]。待零件加工完成… [了解更多]
2024-11
?加工精度是影響機床性能和產品質量的主要難題,也是制約國家精密制造能力的重要因素。本文以五軸加工中心為對象,針對提升機床精度進行了研究。并且隨著科技的發展,精密的儀器和零件在生產實踐中占據的分量逐漸增加,在數控機床這種精密機器精度不斷提高的同時,必須控制內外界環境的隨機影響因素在… [了解更多]